6.12. Massively Distributed RPCs report¶
Below there are the results of the test plan of massively distributed RPCs.
6.12.1. Test Environment¶
6.13. Environment Description¶
Paravance cluster (72 nodes) of Rennes site at Grid’5000 testbed.
Model |
Dell PowerEdge R630 |
CPU |
Intel Xeon E5-2630 v3 Haswell 2.40GHz (2 CPUs/node, 8 cores/CPU) |
Memory |
128 GB |
Storage |
558 GB HDD SATA ST600MM0006 (x2) |
driver: ahci |
|
Network |
eth0/eno1, Ethernet |
configured rate: 10 Gbps |
|
model: Intel 82599ES 10-Gigabit SFI/SFP+ Network Connection |
|
driver: ixgbe |
|
eth1/eno2, Ethernet |
|
configured rate: 10 Gbps |
|
model: Intel 82599ES 10-Gigabit SFI/SFP+ Network Connection |
|
driver: ixgbe |
OS |
Debian 9 “Stretch” |
oslo.messaging |
5.35.0 |
pyngus |
2.2.2 |
ombt |
2.3.0 (a3f0fc7) |
ombt-orchestrator |
1.x |
broker |
RabbitMQ server 3.6.x |
router |
QP dispatch server 1.0.1 |
topology |
complete_graph (router only) |
6.13.1. Test Case 1¶
6.13.1.1. Latency¶
6.13.1.1.1. Driver and Call Type¶
Driver |
Instances |
Type |
Messages |
Latency |
Distribution |
|---|---|---|---|---|---|
broker |
1 |
rpc-call |
|||
broker |
1 |
rpc-cast |
|||
router |
1 |
rpc-call |
|||
router |
1 |
rpc-cast |
|||
broker |
3 |
rpc-call |
|||
broker |
3 |
rpc-cast |
|||
router |
3 |
rpc-call |
|||
router |
3 |
rpc-cast |
|||
broker |
5 |
rpc-call |
|||
broker |
5 |
rpc-cast |
|||
router |
5 |
rpc-call |
|||
router |
5 |
rpc-cast |
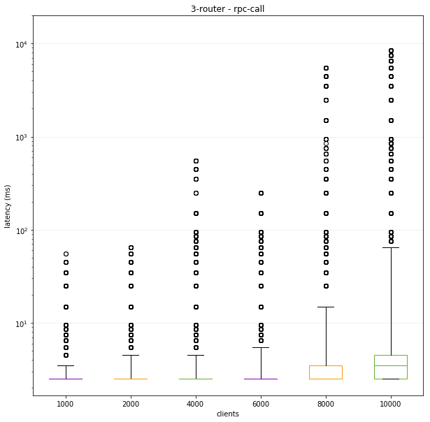
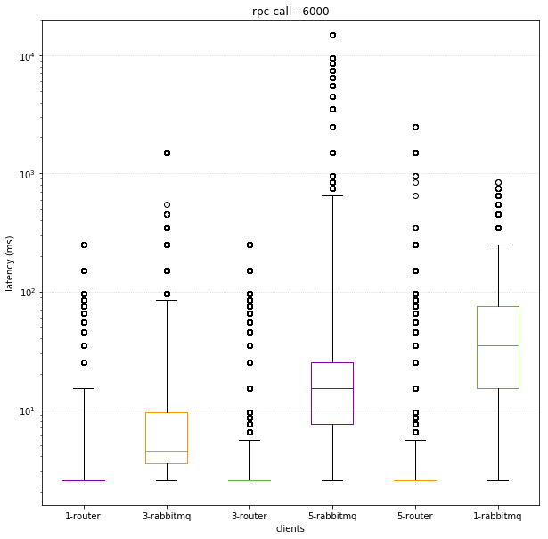
6.13.1.1.2. Driver distribution comparison against number of clients¶
Clients |
rpc-call |
rpc-cast |
|---|---|---|
1000 |
|
|
2000 |
|
|
4000 |
|
|
6000 |
|
|
8000 |
|
|
10000 |
|
|
6.13.1.2. RPC-CALL metrics¶
Metric results show maximum (collected) values for each case.
6.13.1.2.1. Memory usage on the bus¶
Driver |
Instances |
Memory |
|---|---|---|
broker |
1 |
|
router |
1 |
|
broker |
3 |
|
router |
3 |
|
broker |
5 |
|
router |
5 |
6.13.1.2.2. CPU usage on the bus¶
Driver |
Instances |
CPU |
|---|---|---|
broker |
1 |
|
router |
1 |
|
broker |
3 |
|
router |
3 |
|
broker |
5 |
|
router |
5 |
6.13.1.2.3. TCP connections on the bus¶
Driver |
Instances |
TCP connections |
|---|---|---|
broker |
1 |
|
router |
1 |
|
broker |
3 |
|
router |
3 |
|
broker |
5 |
|
router |
5 |
6.13.1.2.4. Network traffic on the bus¶
6.13.1.3. RPC-CAST metrics¶
Metric results show maximum (collected) values for each case as previous case.
Note that the max of Y range is not the same as metrics of RPC-CALL.
6.13.1.3.1. Memory usage on the bus¶
Driver |
Instances |
Memory |
|---|---|---|
broker |
1 |
|
router |
1 |
|
broker |
3 |
|
router |
3 |
|
broker |
5 |
|
router |
5 |
6.13.1.3.2. CPU usage on the bus¶
Driver |
Instances |
CPU |
|---|---|---|
broker |
1 |
|
router |
1 |
|
broker |
3 |
|
router |
3 |
|
broker |
5 |
|
router |
5 |
6.13.1.3.3. TCP connections on the bus¶
Driver |
Instances |
TCP connections |
|---|---|---|
broker |
1 |
|
router |
1 |
|
broker |
3 |
|
router |
3 |
|
broker |
5 |
|
router |
5 |

































































































































































































































